干法復合機是包裝印刷行業生產的重要設備,根據其工藝特點,對設備的張力控制要求較為嚴格,當薄膜在設備上運行時,必須控制膜面不能因張力變化而產生破損、起皺和拉伸變形等,同時亦要保證產生的成品(收卷)不能發生膜松弛或卷心起皺等現象。
張力控制要求控制系統能夠持久地控制塑料薄膜運行張力,這種控制對機器的任何運行速度都必須保持有效,包括機器的加速、減速和勻速。即使在緊急停車情況下,它也有能力保證薄膜不產生絲毫破損、起皺和拉伸變形。
永新有一臺上世紀90年代中期引進的臺灣干法復合機,由于設備運行時間已久,已經達不到上述張力要求,為使其能夠繼續運轉,我們計劃對其進行技術改造。
一、臺灣干式復合機相關性能特點
1、工作原理如圖1所示:

圖1復合工作原理框圖
在此系統中,一放機構的薄膜首先進入上膠牽引輥,在復合烘箱中進行加熱處理,再與另外一層材料(由二放機構控制)經過貼合輥進行復合,最后由收卷機構進行收卷。
2、放卷張力控制框圖如圖2所示:

圖2放卷張力控制框圖
該放卷張力控制系統采用NIRECOTC640張力控制器,操作者根據原料的寬幅、厚度、工藝要求以及操作經驗,手動調整張力控制器輸出電壓的高低來控制放料磁粉剎車器的輸出力矩。
3、收卷張力控制框圖如圖3所示:

圖3收卷張力控制框圖
該收卷張力系統采用NIRECOTC440張力控制器,由張力傳感器直接測定薄膜的實際張力值,然后把張力數據轉換成張力信號反饋到張力控制器,通過此信號與控制器預先設定的張力值對比,計算出控制信號,去自動控制直流電機控制板單元,并由直流電機控制板單元控制直流馬達電壓輸出,使實際張力值與預設張力值相等,達到張力穩定的目的。
4、張力控制系統優缺點
優點:制造工藝成熟,成本低,控制簡單。
缺點:放卷張力控制粗糙,收卷張力控制精度低,反映速度慢,不能吸收張力的峰值,機械的加減速難以處理,不容易實現高速切換卷。因此,當處于平衡狀態的張力控制系統受到較強的干擾時,系統瞬間來不及反應,料帶上張力變化的幅度值會較大,對張力控制盡快重新進入平衡狀態不利。
此外,放料系統的磁粉剎車器和收料系統的直流電機系統經過長時間運行,機械性能和電氣參數都不能達到正常生產的狀況,單耗、設備故障率一直居高,設備的張力系統已不能滿足現在的生產要求。
二、技術改造
為解決現有技術存在的問題,經過綜合考慮,本著遵循節約成本、切合實際的原則,對設備進行合理改造。在設備原有基礎上采用浮輥式(DancerArm)張力檢測和矢量變頻器的張力控制方式來替代原有的控制系統,利用原有的張力控制器TC640和TC440及MB25張力傳感器,繼續作為用戶設定、實際張力顯示和張力演算單元,增加張力浮動輥偏位檢測系統、電空變換器、安川G7型矢量變頻器和反饋編碼器,將一放和二放的磁粉張力器和收卷的直流電機用交流矢量變頻電機替代,從而達到張力自動控制的目的,見圖4:

圖4改造后的復合工作原理框圖
新增加的浮動輥偏位檢測系統,是通過低摩擦精密氣缸帶動精密電位器輸出偏位信號,提供安川變頻器速度修正值,以保證張力穩定性。同時利用浮輥式張力檢測裝置自身的一種特性,對大范圍的張力跳變有良好的吸收緩沖作用,同時也能減弱料卷的偏心(橢圓)以及速度變化對張力的影響。
新增安川矢量變頻器和交流矢量電機,增加反饋編碼器和PG測速卡,形成速度閉環控制,利用其優異性能替換磁粉張力器和直流馬達,從而克服磁粉張力器易發熱、直流馬達維護麻煩等缺點,并極大改善張力特性。
其中:
(1)NERICOTC640/TC440張力控制器用于操作張力值設定、實際張力顯示和運行張力演算,并提供電空變換器電壓輸出和安川變頻器力矩控制信號;
(2)MB25張力傳感器用于張力檢測,將板簧微變毫伏電壓信號輸入到NERICOTC640/TC440張力控制器中,供其與設定值進行比較運算;
(3)電空變換器、低摩擦精密氣缸、精密電位器組成浮動輥位置檢測系統,將浮動輥位置變化轉換成精密電位器輸出的±10V電壓信號,提供安川G7矢量變頻器位置修正信號,該信號與主機(貼合輪)速度信號進行疊加,對安川G7矢量變頻器進行速度控制;
(4)安川G7矢量變頻器根據A1端子的速度指令和A3端子的力矩指令,控制交流矢量電機的速度變化。PG測速反饋卡用于接收編碼器檢測的速度脈沖信號,形成矢量閉環控制,以確保交流矢量電機運行速度的精度。測速反饋編碼器安裝在交流矢量電機尾部軸部。
改造后的張力控制系統原理如下:
(1)用戶通過設定NERICOTC640/TC440張力控制器設定需要的張力值,通過提取該設定電壓信號(0—10V),輸出到電空變換器,使之供給低摩擦精密氣缸一個氣壓值。精密汽缸帶動精密電位器偏移產生位置偏移電壓信號(-10V—+10V),輸出到安川矢量變頻器中,并與主機速度信號進行疊加,計算出速度修正值,從而控制交流矢量電機速度變化;
(2)張力傳感器檢測的張力信號輸入到張力控制器,與控制器預先設定的張力值對比,計算出張力變化力矩控制信號,輸出到安川矢量變頻器中,提供力矩控制信號,以達到控制張力變化的目的。
(3)交流矢量電機尾部的反饋編碼器提供電機的速度信號,輸出到安川變頻器的PG測速卡上,形成速度閉環控制,用以保證速度的精度,以達到控制張力穩定的目的。
改造后的張力控制原理框圖見圖5:

圖5改造后張力控制系統框圖
三、改造所需的實際硬件選型
1、交流矢量電機
該機生產速度最大為160m/min,最大可設置張力F=50kgf,同步皮帶傳動效率n=0.9,則所應提供的平均功率P為:
P1=f×V=F×g×V
其中,f為張力,單位為N;g為重力加速度,單位為m/s,則有:
P1=F×g×V=(50×9.8×160)/60=1306(W)=1.3(kW)
采用同步皮帶傳動減速,則電機輸出的最小功率P為:
P=P1/n=1.3/0.9=1.45(kW)
考慮到快速響應對加減速的要求,比照原直流電機的選擇,在此選擇交流電機功率為3.7kW
2、變頻器
選擇安川400V3.7KWG7變頻器,配套PG卡。
3、電空變換器
采用SMCITV2031-312L5
4、精密汽缸
采用SMCMQMLB6-30D
5、精密電位器
采用塑料精密電位器2K
四、硬件改造
1、增加浮動輥系統
在第一放卷、第二放卷和收卷單元新增浮動輥系統,增加精密汽缸及同步齒輪帶動的精密電位器,并在配電柜中增加電空變換器和±10V直流電源;
2、NERECOTC640/TC440電路改造
(1)通過電路改造,我們提取TC640和TC440張力設定V1(0—10VDC)電壓信號作為電空變換器控制電壓;
(2)TC440輸出電壓信號即為0—10V,可以直接控制安川矢量變頻器。但TC640原來是直接控制磁粉張力器,輸出電壓信號為0—24V6A,不能直接控制安川矢量變頻器,因此通過電路改造,提取TC640電流增幅單元前級的V2電壓信號,該信號為0—10V,可以用來控制安川矢量變頻器,見圖6、圖7。

圖6TC640內部單元框圖

圖7TC440內部單元框圖
3、電機更換
將原系統的磁粉張力器和直流馬達更換為3.7KW1750RpmABBQABP系列變頻電動機,并在電機尾部安裝歐姆龍LMA-60B-S185Y編碼器;
4、安裝變頻器
在配電柜中增加第一放卷、第二放卷和收卷單元安川G7交流矢量變頻器,并在變頻器中安裝PG-B2PG測速反饋卡;
5、配線
按照設計要求將各部分進行配線連接
五、硬件調試
1、變頻器重要參數設置

2、電機自學習
安川變頻器與交流矢量電機在初次運行時,需要進行自學習操作,目的是使安川變頻器自動計算和設定電機的參數,以達到最佳匹配效果。
3、浮動輥精密電位器位置調整
當浮動輥在中心位置時,將精密電位器輸出值調整為0V;
當浮動輥朝出膜方向偏轉到底時,將精密電位器輸出值調整為-10V;
當浮動輥朝出膜相反方向偏轉到底時,將精密電位器輸出值調整為+10V;
電位器采用360°旋轉導電電位器,其有效擺角為330°,正常使用時旋轉角度應小于330°且留有一點余量,以免擺動幅度較大時,進入電壓死區影響張力控制。
4、電空變換器電壓/氣壓調整
調整電空變換器,使得輸入電壓0—10V變化時,輸出氣壓值為0—5Kg變化。
5、NERECOTC640/TC440張力控制器Zero和Span調整
(1)Zero調整
在張力傳感器導輥上無任何膜的情況下,調整TC640/TC440內部Zero電位器,使得TC640/TC440張力顯示為0Kg;
(2)Span調整
在張力傳感器導輥上掛重20kg,調整TC640/TC440內部Span電位器,使得TC640/TC440張力顯示為20Kg。
六、改造效果
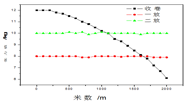
改造后通過試運行,效果較為理想,我們對改造前后收放卷張力、實際生產單耗情況做了一個比較,見下圖8、9、10:

圖8改造前的張力值

圖9改造后的張力值

圖10改造前后單耗對比圖
由于改造后的整套張力系統采用先進的矢量變頻器控制,不僅具備較高的控制性能,還有著調速范圍廣、低速大轉矩運轉、精確的轉矩控制、迅速的指令響應性和安全可靠的保護功能等特點,而且收放卷均工作在閉環矢量控制模式下,通過浮動輥精密電位器的實時檢測,在加減速過程中張力控制更穩定,并通過設置PID參數來補償由于系統慣量、磨擦阻力及材料慣量引起的啟動或加速過程中速度不均勻的情況,獲得非常平穩的張力控制效果。
總體來說,通過技術改造,使得老設備重新煥發活力,延續其使用壽命,并為今后類似設備改造,獲得了寶貴的實際經驗和技術積累。